24小時聯系電話:18217114652、13661815404
中文
技術專題
將VSWR與PCB設計中的回波損耗聯系起來
當創建在射頻下傳導交流電(AC)的PCB原型時,設計必須補償電流波對原型材料的影響。傳輸線通常包含兩個不同的導體以優化電流。傳輸線是為一定范圍的交流電壓構建的,并且電壓會沿傳輸線變化。傳輸線采用監視指標以保持電流良好流動。
VSWR的回波損耗是PCB設計中的重要指標。這種關系是確定電流流過設備的程度以及電子器件工作狀況的好方法。本文將對VSWR和回波損耗背后的概念進行復習,然后探討PCB設計中有關VSWR和回波損耗比的一些特殊注意事項。
什么是VSWR和回波損耗?
通過傳輸線的電流應始終流過所連接設備之間的導體。但是,電流波有時會通過導體向后反射。反向波與正向波之間的電壓比稱為反射系數。該系數由下式定義。
理想情況下,不應存在反向波,從而導致反射系數為0,但這在實踐中并不總是會發生。傳輸線的最大和最小電壓是根據反射系數定義的。
最大電壓:1 +反射系數的絕對值
最小電壓:1 –反射系數的絕對值
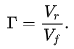
傳輸線中最大電壓和最小電壓的絕對值之比稱為電壓駐波比或VSWR。通過傳輸線的低VSWR意味著電子設備連接良好,并且電流中的任何中斷都將更容易找到。VSWR由以下公式定義。
通過測量回波損耗可以發現中斷,回波損耗是傳輸線中信號功率的降低。在電子產品中,功率是輸出電流及其電壓的乘積。如果連接到傳輸線的設備未正確消耗必要的電流,則會發生功率降低。回波損耗通常表示為從設備繼續沿傳輸線向下傳輸的功率(入射功率)與沿傳輸線向上反射的功率(反射功率)之間的比率,以分貝為單位。換句話說,回波損耗測量吸收和使用了多少功率。回波損耗由以下公式定義。
盡管存在許多表格可以在VSWR和回波損耗之間進行轉換,但也可以使用以下公式在它們之間進行轉換。
VSWR和回波損耗如何影響PCB設計?
傳輸線應具有較低的駐波比和較高的回波損耗。這意味著傳輸線應傳導良好的電流,但也易于識別電流中斷。中斷(通常被稱為失配)對PCB原型的功能有害。如果電流無法正確流過器件,并且VSWR的回波損耗比更大,則器件的性能會受到極大影響。接口邊界的溫度可能會升高,設備關鍵部分的電壓可能會發生變化,并且一個設備的故障可能會影響整個網絡。
沿著傳輸線的功率有效傳輸應該盡可能地高,但是由于失配導致的VSWR與回波損耗比問題會迅速降低功率。這會導致信號強度和廣播范圍大大降低。監視VSWR的回波損耗比是廣播電臺和從事廣播工作的任何技術公司的標準做法。
在PCB原型上添加匹配的變壓器可以保護器件免受由于失配或電流問題導致的突然電流尖峰的影響。這些變壓器減輕了阻抗,即與通過PCB器件的電流相反的量。波反射使電流更難流過器件,因為反射波可以部分抵消正向波。還可以通過使用衰減器來處理阻抗,該衰減器可在不使電流波形失真和引起不良反射的情況下降低電流功率。

