24小時聯系電話:18217114652、13661815404
中文
技術專題
傳輸線阻抗:六個重要值
當查看各種傳輸線阻抗值時,特征阻抗和差分阻抗通常是兩個重要的值,因為這是信令標準中通常指定的兩個重要值。但是,實際上有六個傳輸線阻抗值在PCB設計中很重要
在許多文章和教科書中都可以輕松找到特性阻抗方程,但其他常見的傳輸線阻抗值則更難計算。這種困難的原因是它依賴于多條傳輸線的布置以及它們之間的耦合強度。另一個典型的阻抗值是輸入阻抗,它取決于線路的長度和任何阻抗失配。
傳輸線阻抗值
這是重要的傳輸線阻抗值,應理解為PCB設計和布線的一部分。
特性阻抗
如果您使用Google術語“傳輸線阻抗”,則特征阻抗的定義是最有可能在搜索結果的第一頁上看到的結果。大多數設計人員可能熟悉在集總電路模型中定義的特性阻抗。該模型返回以下流行的特征阻抗公式:
傳輸線的等效電路模型和特性阻抗。
在足夠高的頻率或足夠低的損耗下,特性阻抗將變成純電阻性,并收斂于以下值:
高頻極限中傳輸線的特征阻抗
請注意,這里已忽略了趨膚效應,該效應適用于高達1 GHz的數字信號帶寬。您可以使用標準公式針對不同的走線幾何形狀,從傳播延遲和特性阻抗中得出L和C的值。然后,您可以使用這些電路值來優化走線寬度和電感,并最大程度地減小瞬態振鈴。
特征阻抗有時稱為“電涌阻抗”,與術語“電涌阻抗負載”有關。電力系統工程師經常使用此術語來量化跨傳輸線傳輸并在負載下看到的功率。
偶數模式和奇數模式阻抗
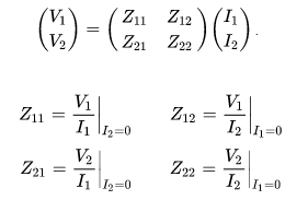
兩條彼此足夠靠近的傳輸線會經歷電容性和電感性耦合。這種耦合通常決定串擾,但它也會修改每條線上的信號所看到的阻抗。當以共模(相同幅度,相同極性)驅動耦合線時,偶數模式阻抗是在一對信號傳輸線上傳輸的信號所看到的阻抗。當以差分模式(相同幅度,相同極性)驅動線時,適用類似定義:
兩根耦合傳輸線的偶數和奇數模式阻抗值
注意,偶數和奇數模式傳輸線的阻抗值是根據Z參數為一對耦合的傳輸線定義的:
傳輸線阻抗的Z參數
Z矩陣(也稱為阻抗參數)可以輕松轉換為S參數。它也可以推廣到具有共?;虿罘烛寗拥亩鄺l耦合傳輸線。
共模和差分阻抗
共模和差模阻抗值與偶數和奇數模態阻抗值有關。通常為差分對的阻抗匹配指定差分阻抗值,而不是奇數模式阻抗。差分對阻抗取決于特性阻抗和差分對兩端之間的間距。除在共模驅動下會產生共模阻抗外,這也適用于共模阻抗。
差分和共模阻抗值。
從物理上講,差分阻抗是在以差分模式驅動該對時,在兩條耦合的傳輸線之間測得的阻抗。類似地,共模阻抗是當一對以共模方式驅動時在兩條耦合的傳輸線之間測得的阻抗。
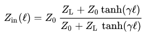
輸入阻抗
該傳輸線阻抗值在阻抗匹配中很重要,可以用來量化傳輸線何時超過臨界長度;請看鏈接文章,了解如何量化允許的阻抗失配。無需重復該文章中的所有內容,輸入阻抗取決于特性阻抗,傳播常數,負載阻抗和傳輸線的長度:
傳輸線輸入阻抗。
集成傳輸線阻抗計算器
這里提供了幾個方程式,這些方程式描述了不考慮實際PCB復雜幾何形狀的理想情況。但是,在設計傳輸線時,它們仍然是一個不錯的起點。電路模型可用于根據互電容和電感來近似估算線路之間的耦合,然后可用于確定偶數/奇數和公共/差分阻抗值。
當您需要極其精確的傳輸線阻抗計算時,您需要使用具有集成電磁場求解器的路徑。這為您提供了使用實際PCB時非常精確的阻抗結果以及上升沿和下降沿的信號行為。這很好地解決了無法引入電路模型的復雜寄生現象,并允許設計人員考慮沿耦合傳輸線長度的長度調整幾何。

